Different Absorption onset behaviour

General discussion around the EPW software

Moderator: stiwari

Post Reply
Agathyan
Posts: 12
Joined: Thu Jul 10, 2025 4:13 am
Affiliation: Pondicherry University

Different Absorption onset behaviour

Post by Agathyan »

Hi all,

I am comparing EPW absorption spectra across different bilayer systems and notice a difference in how the lines appear at low energy. My doubt is whether this is a real physical finding or a mistake.

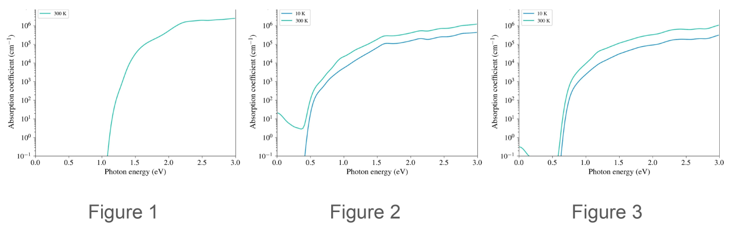
In Figure 1, the 300K line drops sharply around 1.1 eV (w.r.t. the y-axis limit).
In Figure 2, the 300K line stays relatively high and curves up near 0 eV. However, at 10K, this behaviour is not found.
Figure 3 shows a similar trend to Figure 2

Is this a real phonon-assisted finding or just a numerical mistake?

Figures:
Absorption_finding.png
Absorption_finding.png (132.62 KiB) Viewed 11459 times

epw2.in Input:

Code: Select all

! Optical Absorption Flags and Energy Parameters

  lindabs      = .true.
  omegamin     = 0.05
  omegamax     = 3.0
  omegastep    = 0.05
  fsthick      = 4.0 ! eV
  temps        = 10 300 500  ! K
  degaussw     = 0.05 ! eV
  efermi_read  = .true.
  fermi_energy = (specific to the material)
  
  elecselfen   = .false.
  phonselfen   = .false.
  a2f          = .false.
  
  ! Brillouin Zone (BZ) Grid Flags (Fine Grids)

  nkf1         = 60
  nkf2         = 60
  nkf3         = 1
  nqf1         = 60
  nqf2         = 60
  nqf3         = 1

  nk1          = 10
  nk2          = 10
  nk3          = 1
  nq1          = 10
  nq2          = 10
  nq3          = 1"
xiaozha
Posts: 24
Joined: Mon Jun 07, 2021 7:59 pm
Affiliation: The University of Michigan

Re: Different Absorption onset behaviour

Post by xiaozha »

Hi,

I think most likely you are seeing the effect intraband absorption due to partial occupancy of the CBM/VBM. Say if I assume your material is not doped, the following is what I think is happening in your case:

-In figure 1, the gap seem to be around 1 eV. This is large enough that at 300K, the intrinsic carrier concentration is very low, the bands are pretty much fully occupied or empty. In such case, intraband absorption at low energies are very weak. I suspect that if you extend your y-axis, you will still see what you see in figure 2 but the magnitude will just be very low.

-In figure 2, the gap is much lower, so for the same 300K, the intrinsic carrier concentration is higher than that of figure 1. Therefore you see a much stronger intraband contribution. At 10 K, the low temperature results in also very low intrinsic concentration. Figure 3 is a similar story as figure 2.

Best,
Xiao
Post Reply